الشكل 4 الاعتماد على الوقت من مصفوفة شعرية الثوابت التي تم الحصول عليها من الموقع XRD القياسات في 700 ℃ . . . . . . . ◦ لاحظنا انخفاض رتيب شعرية المعلمات ، مما يدل على أن العناصر الثقيلة مثل ملحوظة مو تنتشر تدريجيا من المواد الصلبة .-حل الصلبة مصفوفة مفيدة التنوي ونمو دلتا المرحلة . والشكوك المبلغ عنها في هذا الشكل ، وكذلك ما لم ينص على خلاف ذلك ، ما يلي يمثل معيار ديفيس .
وبالإضافة إلى ذلك ، فإن التغييرات في مصفوفة شعرية المعلمات-حل الصلبة سبائك ذات درجة التساقط [ 40 ] . في am in625 ، شعرية المعلمات من المصفوفة قبل وبعد المعالجة الحرارية في 870 ℃ لمدة 10 ساعات ◦ ج ≈ 0.0042 Å [ 21 ] . وعلى النقيض من ذلك ، فإن التغيرات في بارامترات الشبيكة ≈ 0.0015 Å بعد المعالجة الحرارية في 700 ℃ لمدة 10 ساعات ◦ ج ، مما يدل على أن هطول الأمطار منأور .
حسب التصميم ، in625 هو-مطابق طحن الذهبe ; القوة تأتي أساسا من حل الصلبة تعزيز الموليبدينوم والنيوبيوم والكروم ( [ 1 ] ) . هويرe ; منذ استنفاد الموليبدينوم والنيوبيوم في مصفوفة من المتوقع أن تقلل من قوة ، تشكيل هطول يمكن أن يعوض عن هذا الانخفاض ، وزيادة القوة الإجمالية in625 . . . . . . . على سبيل المثال ، تزوير in625 تصل إلى ذروة صلابة ◦ ج نعم .ويرجع ذلك أساسا إلى هطول الأمطار من γ " المرحلة ، سلف δ المرحلة [ 41 ] . وبالمثل ، فإن هطول الأمطار من دلتا المرحلة يزيد من القوة الشاملة ويقلل من ليونة [ 37 ] . من أجل am in625 ، تأثير المعالجة الحرارية على الخواص الميكانيكية تحتاج إلى تقييم منهجي في درجة حرارة معينة .( أ )
خلال المعالجة الحرارية ، الخلية من دلتا المرحلة تغيرت أيضا . ويبين الشكل 5 هذا التغيير . من بين ثلاثة متعامد شعرية المعلمات ( fig.5a-c ) ، وهما تقريبا ثابت ≈ آلاند ≈ 4.232 آلاند على التوالي . شعرية المعلمة الثالثة يظهر من ≈ 4-482 إلى ≈ آلاند محاذاة محور طويل معروف دلتا المرحلة مع مرحلة مغلقة-ملء اتجاه لجنة الاتصالات الفدرالية الركيزة الكريستال التوجه بين لجنة الاتصالات الفدرالية//دلتا مع لجنة الاتصالات الفدرالية//[ 100 ] δ [ 10 ] . وبناء على ذلك ، فإننا نستنتج أن انتشار ملحوظة مو هو أيضا الاتجاه . لأن مو ينتشر من المصفوفة إلى دلتا المرحلة ببطء أكثر من ملحوظة ( [ 42 ] ) ، هذا الاتجاه قد يؤدي إلى انتشار دلتا المرحلة الكيميائية وزيادة حجم الخلية ، كما هو مبين في الشكل 5 د .
الشكل 5 ( أ - ج ) الاعتماد على الوقت من ثلاث معلمات شعرية ◦ ( د ) حجم الخلية المترسبة في مرحلة دلتا( أ )
في الموقع SAXS البيانات التي تم الحصول عليها باستخدام نفس حجم العينة أثناء المعالجة الحرارية متساوي الحرارة كما يوفر نافذة للكشف عن إحصائية كبيرة تحول ديناميات المواد المجهرية . ويبين الشكل 6 مجموعة كاملة من البيانات ، usaxs البيانات الرئيسية الرسم البياني ، SAXS البيانات المعروضة في الرسوم التوضيحية . من أجل الاتساق ، غيوم البيانات الملونة-باستخدام نفس لون رمز XRD البيانات في الشكل 3 . تشتت البيانات ثلاث خصائص هامة . أولا ، منخفضة جدا-بيانات جزئية مبعثرة ) ≈ س − آلاند − إلى ≈ س − آلاند − 1 ) ، لاحظنا امدادات الطاقة-قانون المنحدر الذي لا يتغير مع الوقت . ونحن نعتبر هذه الميزة إلى الجسيمات نثر ، والتي هي مماثلة لتلك التي من الدراسات السابقة على النيكل .-الألومنيوم قاعدة Superalloy [ 21 , 43 ] سبائك [ 44 , 45 ] . عندما تكون درجة الحرارة أقل من 900 ℃ ، نمو الحبوب في in625 هو الحد الأدنى . ◦ ( ج ) [ 46 ] . ولذلك ، فمن المتوقع أن تشتت الجسيمات مستقرة ، والتي تتفق مع النتائج التجريبية . ثانيا ، لاحظنا رتيبة زيادة كثافة نثر بين اثنين من المواد . ≈ س − آلاند − و ≈ آلاند − 1 ، لا سيما بالقرب من 2 × 10 مع اثنين من مناطق ولاية فرجينيا − آلاند − 1 و 8 × 10 − آلاند − 1 . في الموقع بيانات XRD وغير الموقع صور SEM تظهر فقط دلتا المرحلة هطول ، ونثر إشارة يعزى إلى دلتا المرحلة . في وقت سابق من الدراسات المجهرية ، دلتا المرحلة ترسيب صفائح الدم مع اثنين من أحجام مميزة [ 10 , 21 , 47 ] ، الذي يتفق مع الملاحظات من اثنين من مناطق جينير في نثر البيانات . وأخيرا ، saxs البيانات المعروضة في الرسوم التوضيحية هي امتداد بسيط عالية ف السلطة .-المنحدر من القانون في usaxs البيانات ؛ على سبيل المثال ، ساكس البيانات لا تحتوي على معلومات إضافية ، مما يدل على أن هناك شركات إضافية نانومتر-حجم كبير من الرواسب التي تشكلت أثناء المعالجة الحرارية .
الشكل 6 في الموقع saxs البيانات التي تم الحصول عليها من amin625 أثناء المعالجة الحرارية في 700 ℃ . . . . . . . ◦ الرسوم البيانية والرسوم التوضيحية الرئيسية تظهر بيانات USAXS و SAXS ، على التوالي . جمع الوقت اللون-رمز السهم حسب الوقت . USAXS قوة شق-لطخ( أ )
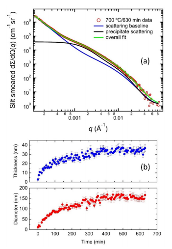
ونحن بناء نموذج تشتت لوصف تشتت البيانات على أساس هذه الملاحظات ، كما هو مبين في الشكل 7 . مع البيانات التي تم الحصول عليها من 630 دقيقة usaxs التجربة الميدانية ، على سبيل المثال ، هذا النموذج يتكون من جزأين . العنصر الأول هو نثر خط الأساس الذي تم الحصول عليه في نفس حجم العينة قبل المعالجة الحرارية في درجة حرارة الغرفة . العنصر الثاني يمثل الإفراط في نثر من دلتا المرحلة هطول . كما ذكر أعلاه ( [ 21 ] ) ، ونحن تصف هذا النوع من الإفراط في نثر باستخدام طريقة تحليلية مماثلة موحدة صغيرة زاوية نثر الأسلوب مع اثنين من مستويات التشتت ( [ 48 ] ) . هذه اثنين-عنصر نموذج جيد يصف المشهد ساكس البيانات( أ )
الشكل 7 ( أ ) رسم بياني للنموذج SAXS المستخدم في هذا العمل . البيانات التي تم الحصول عليها في 630 دقيقة أثناء المعالجة الحرارية في 700 ℃ . . . . . . . ◦ تغطية نثر يتكون من جزأين : ( 1 ) خط الأساس و ( 2 ) أكثر من نثر ( ب ) التوقيت-تطور العلاقة بين متوسط القطر ( حجم كبير ) وسمك ( حجم صغير ) من رواسب( أ )

المسمى الوظيفي: Product manager
قسم: Market Department
هاتف الشركة: +86 021-59150215
البريد الإلكتروني E-: اتصل بنا
تليفون محمول: +86 13817160919
موقع الكتروني: lanzhusuperalloy.b2bara.com
عنوان: No. 2800 Caoxin Road, Xuhang Town, Jiading District, Shanghai